Communiqué commun LDH, ERRC
1. Résumé
Les évacuations forcées : un entêtement incompréhensible !
Le 8 avril est la Journée internationale des Roms, et il aurait fallu la fêter dans la joie et la dignité. Mais les réalités restent tristes et indignes, car les évacuations forcées des Roms étrangers durant le premier trimestre 2014 ont perduré. On aurait pu imaginer un autre scénario, durant la période hivernale. Comme les années précédentes, les conditions de froid, de vent, de pluie ou de neige durant l’hiver n’infléchissent pas la politique de rejet du gouvernement.
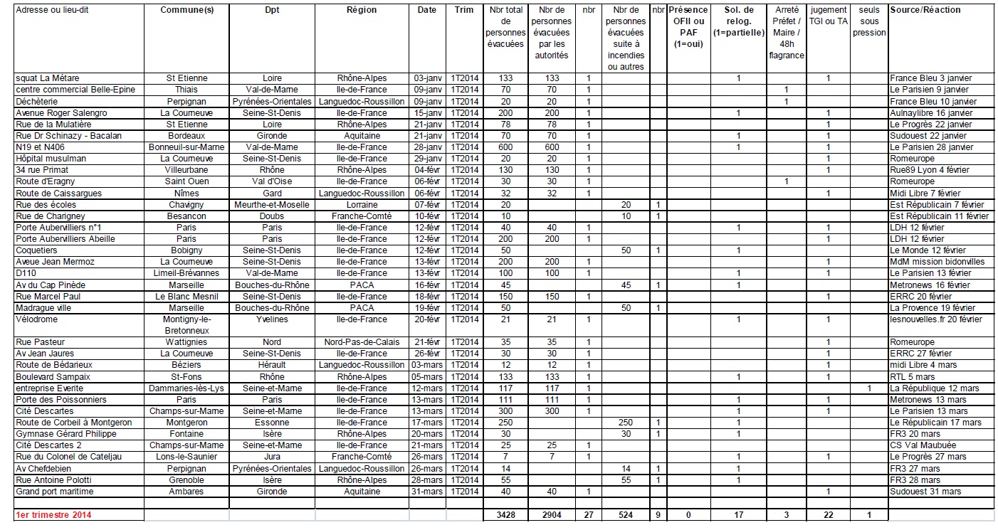
En effet, depuis le 1er janvier 2014, 3 428 personnes se sont fait évacuer de force de 36 lieux de vie, 2 904 par les autorités lors de 27 évacuations, et 524 suite à un incendie à 9 occasions.Ces chiffres restent très élevés en période hivernale, tout comme lors des années précédentes, puisque nous avions recensé 3 007 personnes évacuées de force par les autorités de leurs lieux de vie au premier trimestre 2013, et 2 153 en 2012.
Il y eut 22 évacuations forcées faisant suite à une assignation par les propriétaires des terrains ou des squats, devant les tribunaux, 3 faisant suite à un arrêté d’insalubrité ou de péril pris par la mairie ou le préfet, et un abandon des bidonvilles par les personnes elles-mêmes, sous la menace d’une évacuation forcée imminente. Il y eut une évacuation ne faisant suite à aucune décision de justice ni aucune autre décision légale (Champs-sur-Marne, le 21 mars 2014).
Aucun changement sensible n’est observé dans l’application de la circulaire du 26 août 2012. Les évacuations forcées ont continué pratiquement, partout sans solution alternative crédible de relogement ni d’accompagnement social. Les diagnostics, quand ils sont réalisés, restent faits de manière superficielle et ne servent généralement qu’à recenser les personnes en vue de leurs évacuations.
On déplore malheureusement le décès d’une enfant, lors d’un incendie dans un bidonville à Bobigny, le 12 février 2014.
Pendant cette période d’élections municipales, le climat est resté déplorable, les paroles extrémistes et les discours de haine ont continué.
L’annonce, par la ministre de l’Égalité des territoires et du Logement, d’un plan pour l’« éradication des bidonvilles », avec Adoma comme opérateur, reste à concrétiser. Mais on peut s’interroger sur la faisabilité d’une telle démarche dans le contexte d’une politique menée d’autre part par le ministère de l’Intérieur et centrée sur les évacuations forcées devenues systématiques, comme le montrent les chiffres : c’est toujours la même politique de rejet qui est menée. Les bidonvilles sont reconstruits un peu plus loin, et les personnes s’y retrouvent de plus en plus précarisées.
Etant donné que le ministre de l’Intérieur est maintenant nommé Premier ministre, le plan d’éradication des bidonvilles ne va-t-il pas se traduire par une accélération de la systématisation de leurs évacuations ? Ce qui peut faire craindre le pire des scénarios.
Remarque :
Ce recensement est le fruit d’un travail commun entre la Ligue des droits de l’Homme (LDH) et l’« European Roma Rights Centre » (ERRC). Sans avoir la prétention à l’exhaustivité de la situation étant donné le manque de données officielles disponibles, ce recensement voudrait cependant en être l’expression la plus objective possible.
2. Résultats observés
Durant le premier trimestre 2014, 3 428 personnes furent obligées de quitter leurs lieux de vie, dont 27 suite à une évacuation forcée par les autorités, et 9 suite à un incendie.
Les évacuations ont concerné 36 sites. Une solution partielle de relogement aurait été proposée dix-sept fois.
Il y eut 22 évacuations forcées faisant suite à une décision d’un tribunal, 3 faisant suite à un arrêté d’insalubrité ou de péril pris par la mairie ou le préfet, et un abandon des bidonvilles par les personnes elles-mêmes. Il y eut une évacuation sans décision de justice.
L’analyse des résultats montre que quatre régions de France ont été les principaux témoins d’évacuations forcées, totalisant 95 % des évacuations : Ile-de-France (73 %), Rhône-Alpes (16 %), Aquitaine (3 %) et Provence-Alpes-Côte-D’azur (3 %).
Les solutions de relogement restent dérisoires dans la pratique, même si, dans ce rapport, elles sont comptabilisées quand elles sont faites. Les propositions de relogement sont le plus souvent temporaires (deux à trois jours), dans des hébergements d’urgence, ou parfois plus durables pour certaines familles (un mois renouvelable, selon des critères mal définis), dans des hôtels du Samu social. Elles sont généralement éparpillées et éloignées des lieux de scolarisation des enfants, et elles ne sont adressées qu’à une partie de la population du lieu de vie. Aussi, les solutions de relogement sont le plus souvent offertes le jour même de l’évacuation : les personnes n’étant pas informées qu’elles pourraient être relogées pour quelques nuits, elles quittent leur lieu de vie avant l’arrivée des forces de l’ordre et des services de relogement. Il arrive fréquemment que les autorités envisagent de séparer les familles en proposant des solutions d’hébergement d’urgence uniquement aux mères et aux plus jeunes enfants, laissant les pères et les autres enfants plus âgés à la rue.
On continue à observer que les évacuations forcées s’accompagnent souvent d’une distribution d’obligation de quitter le territoire français (OQTF).
3. Evolutions par rapport aux périodes précédentes
Les tableaux suivants détaillent les différents nombres recensés et leurs évolutions.
Cette analyse montre que le nombre de personnes évacuées durant le premier trimestre de l’année 2014 reste à un niveau élevé, et que la trêve hivernale n’est absolument pas prise en compte malgré un fléchissement du nombre de personnes évacuées.
Note : Ces estimations n’incluent pas les éloignements du territoire suite à une décision administrative, ni les rapatriements par charter de l’Ofii (pour information, en dehors des rapatriements personnels, au moins 446 personnes rapatriées en groupe lors de quatre charters en 2013).
4. Harcèlements, rejets, mises en péril, menaces
La liste ci-dessous n’est pas exhaustive et ne donne que quelques exemples des faits de violence.
Durant le premier trimestre 2014 :
– durant l’incendie du bidonville des Coquetiers à Bobigny, le 12 février, on déplore le décès d’une enfant âgée de 8 ans ;
– suite à l’évacuation du bidonville de Wattignies, le 21 février ;
– une famille s’était réfugiée dans un autre bidonville, à Roncq. Le soir même, leur enfant âgée de 8 ans est fauchée accidentellement par une voiture à la sortie du bidonville. Elle est décédée sur les lieux ;
une famille rom, réfugiée sur les trottoirs de la place de la République, à Paris, a été agressée à l’acide par un passant. On a appris lors de cette sordide découverte que les faits se répétaient depuis le mois d’août 2013 ;
– « Paul-Marie Coûteaux, tête de liste FN-Rassemblement bleu marine dans le 6e arrondissement de Paris pour les élections municipales, évoque dans une note de blog l’idée de « concentrer » les Roms « dans des camps » »[1] ;
– le commissaire européen des droits de l’Homme dénonce qu’ « une autre forme grave d’abus policier est la violence envers les minorités, en particulier les Roms, et les migrants »[2], pointant plus particulièrement la Grèce et la France.
5. Résultats détaillés pour le 1er trimestre 2014
Annexe 1
1. Description des données prises en compte dans l’étude
L’étude a recensé la dénomination du lieu de vie, la commune, le nombre de personnes expulsées, les causes de l’évacuation forcée, le nombre d’obligations de quitter le territoire français (OQTF) distribuées (quand il est connu), la présence simultanée de l’Office français de l’immigration et de l’intégration (Ofii) avec les forces de l’ordre (quand il est signalé), les expulsions collectives du territoire, les propositions de relogement, les bases légales de l’évacuation (procédure d’expulsion initiée par le propriétaire du lieu de vie, ou arrêté pris par le maire ou le préfet) ainsi que les sources de l’information dans chacun des cas
Chaque évacuation ou expulsion est caractérisée de la manière la plus complète et seules les informations vérifiables obtenues de sources fiables, mentionnées ci-dessous, sont comptabilisées.
2. Définitions
Le vocabulaire doit être précisé : un terrain est évacué et une personne expulsée. En droit, on parle d’évacuation d’un terrain, d’un bâtiment lorsque la mesure vise le lieu, et d’expulsion lorsque la mesure vise la ou les personnes. D’autre part, le terme « lieu de vie » désigne l’endroit où vivent les personnes, cet endroit pouvant être un bidonville, un squat, un hangar désaffecté… ou une caravane en état ou non de marche. La dénomination du lieu de vie est celle de l’endroit mentionné dans la source, par exemple « le Hanul ». L’adresse est évidemment notée, quand c’est possible.
La commune est celle sur laquelle le lieu de vie existe. Les cas sont fréquents où le lieu de vie chevauche plusieurs communes, par exemple Noisy-le-Grand/Bry-sur-Marne. Ces cas prêtent souvent à confusion : plusieurs rapports d’apparence différente concernent en fait le même lieu de vie. Une attention particulière a été portée à ce point afin de garantir l’information.
La date est celle du jour où a eu lieu l’évacuation forcée.
Le nombre de personnes est celui mentionné dans la source.
L’expulsion forcée peut résulter d’un arrêté d’expulsion pour occupation illégale ou insalubrité du lieu de vie, ou un accident (incendie). Plusieurs causes peuvent se cumuler. Par exemple, à Massy (Essonne) en 2010, il y eut : distributions d’OQTF, incendie, arrêté d’expulsion, enfermement, retours ARH et retours forcés, et destruction de ce qui restait du lieu de vie par les autorités communales.
Quand des propositions de relogement sont mentionnées dans la source, elles figurent au tableau. Elles sont généralement partielles car, dans la majorité des cas, elles séparent les familles et sont destinées uniquement aux femmes accompagnées d’enfants en bas âge dans un hébergement d’urgence pour quelques jours. Pour cette raison, elles sont très souvent refusées par les personnes concernées.
L’origine des décisions justifiant les évacuations est comptabilisée. Elles peuvent être prises par un tribunal (d’instance, de grande instance, administratif, une cour d’appel), ou suite à un arrêté d’insalubrité ou de péril pris par une mairie ou un préfet. Le nombre de départs ne faisant pas suite à l’usage de la force est aussi recensé. Ces départs font généralement suite à un harcèlement et des menaces policières.
La source est l’origine de l’information. Le même événement peut être décrit dans plusieurs sources. Chaque source est référencée. Seules les plus fiables et les plus précises ont été retenues : articles de presse et média, communiqués de presse, témoignages directs diffusés ou transmis par une ONG.
Téléchargez la version anglaise
[1] « Un candidat d’extrême droite évoque l’idée de « concentrer » les Roms dans des « camps » », Le Monde, 3 mars 2014.
[2] « Les violences policières – une menace grave pour l’Etat de droit », le Carnet des droits de l’Homme du Commissaire du Conseil de l’Europe, 25 février 2014 à 9:45.
Paris, le 7 avril 2014
Si certains liens vers des documents apparaissent brisés dans cet
article, veuillez cliquer ci-dessous pour les télécharger :
g1.jpg
g2.jpg
g3.jpg
expulsions_forcees_1t_2014.pdf
infographie_2_.png
